 |
|
|
|
|
|
|
|
这是一道"在非均匀磁场中如何求解载流导线受到的磁力"的典型例题。通过这道例题的学习,可以更进一步掌握磁力计算的关键所在。 |
|
|
|
|
|
|
|
|
|
|
| |
| |
|
|
|
|
|
例题 04-13-09-02 长直导线 AB载有电流  ,其旁有一直导线 MN,通有电流
 ,两者在同一平面内,且成
 角, M、 N两点到导线 AB的距离分别为 a和 b(见图),求导线 MN所受的磁场力的大小和方向。
解
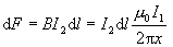
在直导线 MN上取电流元  ,它与长直电流  ,相距为 x,如图所示.长直电流  在该处激发的磁场强度为

电流元所受磁场力 
的大小为

方向如图所示. 由于直电流 MN上各处电流元所受磁场力的方向相同,因此,直电流 MN受磁场力的大小为

由于  ,所以

力的方向为垂直直电流 MN斜向上。
|
|
|
|