这是一道"在非均匀磁场中如何求解载流导线受到的磁力"的典型例题。通过这道例题的学习,可以掌握磁力计算的关键所在。
例题
04-13-09-01
如图,一铅直放置的长直导线,通有电流
;另一水平直导线
l
2
,长为
通有电流
,其始端与铅直载流导线相距
,求水平直导线上所受的力。
分析
题解
解
:
由于水平载流导线上任一电流元所受磁场力的方向都是相同的,因此整个水平载流导线上所受的磁场力
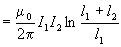
F
是许多同方向平行力之和,可用积分法算出:
代入题设数据后,得
=
04-13-03-01
04-13-03-02
04-13-04-01
04-13-05-01
04-13-05-02
04-13-05-03
04-13-06-01
04-13-07-01
04-13-08-01
04-13-08-02
04-13-08-03
04-13-09-01
04-13-09-02
04-13-09-03
04-13-10-01
04-13-10-02
04-13-10-03
04-13-10-04
04-13-11-01
04-13-11-02
04-13-12-01