这是一道计算运动的带电体产生磁场的基本例题。
通过对本例题的学习,不仅可以学习到计算运动带电体磁场的方法,而且可以体会到借助于典型电流的磁场计算问题的简便性。
例题 04-13-06-01
一半径为
R
的薄塑料圆盘,在盘面均匀分布着电荷
q
,若圆盘绕通过圆心、且与盘面垂直的轴以角速度
作匀速转动时,求在盘心处产生的磁感强度
B
的大小。
分析
题解
解
将圆盘分割为一系列半径不同的同心圆环,其中如图所示的圆环在旋转时的等效电流为
,
所以
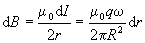
已知一个载流圆环载圆心处产生的磁场是
。带电圆环在旋转时在圆心处产生的磁场为
整个带电圆盘旋转时在圆心处产生的磁场为
04-13-03-01
04-13-03-02
04-13-04-01
04-13-05-01
04-13-05-02
04-13-05-03
04-13-06-01
04-13-07-01
04-13-08-01
04-13-08-02
04-13-08-03
04-13-09-01
04-13-09-02
04-13-09-03
04-13-10-01
04-13-10-02
04-13-10-03
04-13-10-04
04-13-11-01
04-13-11-02
04-13-12-01