第十二章 第八节 一段含源电路的欧姆定律
  首页 | 后退
   上一章  下一章  上一节        
  自学指导
本节导学
知识导航
典型例题
问题讨论
作业选解

§04-12-08

一段含源电路的欧姆定律




丹尼尔电池

公元1836年,英国教授丹尼尔制造出一种可长时间供应电流的简单电池。上图的丹尼尔电池是以浸泡在硫酸铜溶液中的铜质圆筒为正极,以浸泡在硫酸中的锌棒为负极。两者之间隔着具有许多透水孔的容器。丹尼尔电池可产生约1伏的电,主要作为实验电源。

  现在我们进一步研究一段含有电源的电路两端间的路端电压。下图12-14表示从整个电路中任取的一段含源电路。

若需求此电路上两点A、B间的路端电压,则从始端A沿着电路A→C→D→E→F→B到终端B的循行方向,凡电阻上 的电流流向与循行方向一致者,电势降低,相反者,电势升高(即负的降低);凡电源上电动势的指向与循行方向一致 者,电势升高,相反者,电势降低(即负的升高)。因而,我们可用电势升、降来计算含源电路的路端电压

  一般的我们可以写成这样的形式 来计算A、B两端的路端电压,即:

                
(12-29)

上式表明,在一段含源电路中,其路 端电压等于电流与电阻(包括外电阻 和电源的内阻)的乘积之代数和减去 该段电路中电动势之代数和。这一结论称为一段含源电路的欧姆定律

  从式(12-29)看出,如果这段电路中没有电源,仅有一个纯电阻R,则该式变成,这就是一段均 匀电路的欧姆定律;如果这段电路中含有一个电动势为ξ、内阻为r的电源,且把两个端点A和B相连结而成为一个闭 合电路,于是有,则式(12-29)成为:

                 ,或

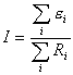
这就是前述的闭合电路的欧姆定律;如果这个闭合电路中包含若干个电源和电阻,则由于单一的闭合电路中的电流I 是恒量,可作为公因子从求和号内提出,即:

            ,从而由式(12-29) 可得:

                                 (12-30)

上式就是单一闭合电路欧姆定律的普遍形式。