|
§04-10-13
电场强度与电势的关系

|
|
|
设函数y=f(x)所表示的曲线通过原点,则在原点上虽然y=0,但曲线在原点处的切线的斜率dy/dx不一定为零.与此相仿,电场中一点的 =0,该点的 不一定为零。 |
电场强度和电势都是描述电场中各点性质的物理量,两者之间必有一定的联系。在§04-10-11中,我们曾表述了场强与电势之间的积分关系,即

本节表述了它们之间的微分关系,即
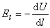
(13a)
上式表示,电场中给定点的场强沿某一方向 的分量 ,等于电势在这一点沿该方向变化率的负值。负号表示场强指向电势降落的方向。从上式可知,在电势不变( =恒量)的空间内,沿任一方向电势的变化率 ,因此在空间任一点上, 沿各方向的分量均为零,即

故任一点的场强必为零。
其次,在电势变化的电场内,电势为零处,该处的电势变化率不一定为零,因而由上式可知, 场强不一定为零;反之,场强为零处,该处的电势变化率也为零,但该处的电势 不一定为零。这就是说,电场中一点的场强与该点电势的变化率有关;而一点的电势则不足以确定该点的场强。读者不妨求一下两个等量同种点电荷连线的中点的场强和电势,以及两个等量异种点电荷连线的中点的场强和电势,就可以领会同一点的场强与电势的上述关系。
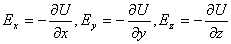
如果在电场中取定一个直角坐标系 ,并把 的方向分别取作 的方向,则按照公式(13a),可分别得到场强 沿这三个方向的分量 与电势 的关系为
(13b)
这一关系在电学中非常重要。当我们计算场强 时,通常可先求出电势 ,然后再按上式计算 ,从而就可求出场强 。因为 是标量,计算 及其导数显然比计算矢量 来得方便。
|
|
|