|
上一节我们通过场强的计算,讨论了电场的分布。本节将讲述电荷在电场中所受的电场力。 按照电场强度的定义,电场中任一点的场强 等于单位正电荷在该点所受的电场力。那么,点电荷 在电场中某点所受的电场力
式中, 为该点的场强。电场力 的大小为 ,方向取决于电荷 的正、负。不难判断,正电荷( )所受的电场力,其方向与场强方向一致;负电荷( )所受的电场力,其方向与场强方向相反(如§04-10-04所述)。
下面我们结合实例,分析电荷在电场中受力及其运动情况。
密立根(Robert Andrews Millikan, 1868-1953),美国物理学家。)率先于1911年测定了电子的电荷。其实验装置如下图所示。
(密立根油滴实验详述)
示波器是一种常用的电子测量仪器。它借其中的主要部件--阴极射线管(下图),把电信号在荧光屏上变换成可观察的图象。
(阴极射线管详述)
现在我们假设垂直偏转电极的极板C、D之间存在着一个均匀电场,场强 的方向沿 轴垂直向下(下图)。电子穿出阳极上小孔后,就沿着 轴方向以初速 进入此电极的两板间。这时,电子所受电场力 是恒力,其大小为 ,方向沿 轴垂直向上,与 的方向相反,且垂直于初速 的方向。电子的重力不计。
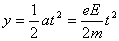
沿 轴方向,电子不受外力,故作匀速直线运动,位移为
(a)
沿 轴方向,电子的初速为零,按牛顿第二定律,其加速度大小为 ,( 为电子的质量),位移大小为
(b)
从式(a)、(b)中消去时间 ,可知电子在垂直偏转电极内作平抛运动,其轨道方程为
(c)
即电子循着抛物线轨道逐渐朝上偏转。电子在穿过极板长为 的垂直偏转电极时,所需时间为 ,则由式(b),可得垂直方向的位移大小为
(d)
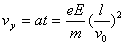
电子离开垂直偏转电极后,不再受电场力作用,就以离开此电极时的末速 作匀速直线运动,它沿 轴方向的分量仍为
,沿 轴方向的分量为
(e)
这时,电子运动方向(即速度 的方向)偏离 轴的角度 为
(f)
设垂直偏转电极的中心与荧光屏相距为L,则电子离开此电极而打到荧光屏上沿垂直方向的位移大小为
(g)
显然,电子在荧光屏上的光点偏离中央O点的垂直距离为 ,把式(d)、(g)给出的 、 代入并化简得
上式表明,光点在荧光屏上的垂直位移 的大小正比于垂直偏转电极内的场强 ;场强越强,位移亦越大。如果我们对水平偏转电极进行分析,亦可给出类似的结论。
值得指出,在示波器中的阴极射线管,用上述这种电偏转方法,电子的偏转范围不大,所以在电视显象管和雷达指示管中对电子束一般都采用磁偏转,以增大偏转角,偏转情况与阴极射线管颇相似。
如右图所示,设电偶极子处于场强为 的均匀电场中, 表示从 指向 的矢量, 电偶极子的电矩 方向与 之间的夹角为 。作用于电偶极子正、负电荷上的电场力分别为 和 ,其大小相等,即 ,其方向相反,因此两力的矢量和为零,电偶极子不会发生平动;但由于电场力 和 的作用线不在同一直线上,此两力组成一力偶,使电偶极子转动。电偶极子所受力偶矩的大小 等于力偶中任何一个力的大小和这两个平行力之间的垂直距离 (称为力臂)之乘积。即力偶矩为

如果力偶矩为零,则原来静止的物体不会转动,原来转动的物体作匀角速转动。使电偶极子发生转动的力偶矩的大小为
(a)
式中 为力偶矩的力臂, 为偶极子的电矩大小。上式表明,当 时,力偶矩最大;当
时,力偶矩等于零。在力偶矩作用下,电偶极子发生转动,即其电矩 将转到与外电场 一致的方向上去。
综上所述,我们也可将式(a)表示成矢量式( 与 的矢积),即
|