首页 | 后退  
 
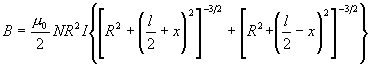
作业 04-13-05-07 如图,两个半径为R、匝数为N、通有电流 I 的线圈,同轴平行地放置着,相距为 l。这两个线圈的组合称为亥姆霍兹线圈,在实验室中常用它来激发均匀磁场.求在距离它们的中心 O 点为 x 处的磁感强度。

双击可以看放大图

答案:
作业 04-13-05-08 如图所示,两根长直导线互相平行地放置,导线内电流大小相等,均为 ,方向相同,如图所示.求图中 两点的磁感强度 的大 小和方向(图中 ).

答案:,方向向左。