内容
  首页 | 后退
上一章下一章上一节下一节
  自学指导
本节导学
知识导航
典型例题
问题讨论
作业选解
04-13-05
比奥-萨伐尔定律的应用













双击可以看放大图

 

  应用毕奥-萨伐尔定律计算磁场中各点磁感强度的具体步骤为:

  1.首先,将载流导线划分为一段段电流元,任选一段电流元Idl,并标出Idl 到场点 P 的位矢r,确定两者的夹角(Idlr );
  2.根据毕奥-萨伐尔定律的公式,求出电流元Idl 在场点P所激发的磁感强度dB的大小,并由右手螺旋法则决定dB的方向;
  3.建立坐标系,dB在坐标系中分解,并用磁场叠加原理做对称性分析,以简化计算步骤;

  4.最后,就整个载流导线对dB的各个分量分别积分,一般在直角坐标系中

        

对积分结果进行矢量合成,求出磁感强度B;即



  下面通过两个典型例子来举例说明毕奥-萨伐尔定律的应用。
  1.圆电流轴线上的磁场   
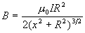
    用毕奥-萨伐尔定律计算一半径为R、通有稳恒电流I的圆线圈,在轴线上任一点P所激发的磁感强度B
    通过左图分析圆电流上任一电流元在场点P的磁感强度dB的分布,可以看出磁感强度dB的分布具有轴对称性,磁感强度B的方向沿轴线方向,经过计算可知:磁感强度B的大小为:
 
(1)
  
     在上式中,令x=0,即得载流圆线圈中心处的磁感强度为
               
见问题讨论1、2

  2.有限长载流直导线的磁场
    用毕奥-萨伐尔定律计算一长度为L、通有稳恒电流I载流直导线在空间任一点P所激发的磁感强度B,可得B的大小
       
(2)
式中如左图所示B的方向与直电流成右手螺旋关系。
见问题讨论3、4

  3.无限长的直电流的磁场
若载流直导线为"无限长"时,则在上式中, ,,并令a = r 则磁感强度的大小为
        
(3)
    即"无限长"的直电流在某点所激发的磁感强度的大小,正比于电流强度,反比于该点与直电流间的垂直距离r