例题 04-10-02-03 在半径为的均匀带电的半圆弧形塑料细杆上,均匀地分布着正电荷 ,求它对位于圆心O处的点电荷()的作用力。

分析
分布在长度为 的半圆弧形细杆上的电荷,显然不能视作点电荷。为此,我们可将细杆分成许多线元(即微小线段),使得每一线元上所带电荷(称为电荷元)可视作点电荷。这样就可用库仑定律先求电荷元对点电荷的作用力,然后再根据静电力叠加原理,求所有这些力的矢量和,便可得出整个细杆上的电荷对点电荷所作用的合力

如图所示,取以圆心O为原点的坐标系,在与轴成角处沿细杆取一圆弧形线元为对应于的中心角。由题设可知,细杆均匀带电,故半圆周上每单位长度所带的电荷(称为线电荷密度,其单位是)是相同的,因此,它的值为,因而,线元上所带电荷为,按库仑定律,电荷元对点电荷作用的静电力大小为


                   (a)


皆为正电荷,即,则静电力的方向沿两者连线,为斥力(见图),表示为矢量式,即

         (b)

式中,分别为x和y轴正向的单位矢量,分别为沿x、y轴方向的分量。将式(a)代入式(b),并化简,然后,按静电力叠加原理,求所有电荷元对点电荷作用力的矢量和,即对式(b)进行矢量积分,便可求得电荷对点电荷所作用的静电力的合力,即(注:对矢量求积分时,可在所取直角坐标系中,先将矢量写成正交分解式,考虑到其中的单位矢量 都是恒矢量,积分时,可以把它们提到积分号外面,因而,只须分别对两个分量求标量积分。这样, 便把矢量积分归结为求标量的积分了。)

        

         

         

         


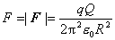
负号表示合力的方向沿y轴负向,合力的大小为