|
例题 04-10-05-01 电偶极子在其轴线上的场强 设有一对相距为 的等量异种点电荷 和 ,在这两个点电荷连线的延长线上,求某点 的场强 。
解 如图所示,令电荷 、 连线的中点O到点 的距离为 ,则 和 在点 所激发的场强大小分别为(注:在负电荷 的场强 的式中,我们用电荷的大小 代入而不用 代入,这是因为场强是矢量,具体计算时,它的大小与方向必须分别表示出来。求大小时,仅需用 之绝对值 代入即可,而这个"负的性质"已在它的场强方向上反映了。读者以后解题时,也可以这样处理,把场强的大小和方向分别考虑,进行计算。)
,
,
(a)
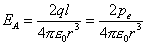
它们的方向沿着这两个点电荷的连线,而指向相反。由于两个共线矢量的矢量和就等于代数和,因而点 的总场强 为

方向向右。
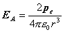
当 时,这样一对等量异种点电荷所组成的点电荷系叫做电偶极子,而电荷的大小 与从负电荷 到正电荷 的位矢 之乘积,叫做电偶极子的电矩。电矩是矢量,用 表示, 的方向与 的方向相同, 的大小为 ,即
对于电偶极子,由于 ,前式的分母中 ,可以略去,则
与电矩 两者的方向一致(见图)。因此,在电偶极子轴线(即正、负电荷的连线)的延长线上一点的场强也可表示成矢量形式:
顺便指出,如果 ,则 与 将重合在一起,点 的场强为零,即

这就是电中和的意义。所谓等量异种电荷的中和,并不是说这些电荷不激发电场了,而是指它们聚集在一起,对外所激发的电场相互抵消。
|