|
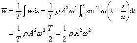
波在传播时,介质中各质元都在各自的平衡位置附近振动,因而具有动能,同时介质要产生形变,因而具有弹性势能。介质的动能与势能之和称为波的能量。质元的振动动能为
(推导)
同时,质元因发生弹性形变而具有弹性势能。可以证明,质元的弹性势能为

质元的总能量为其动能与势能之和,即

由上式及波的能量分布图可以总结出波的能量的特点。
在波传播的介质中,可用能量密度描述介质中各处能量的分布情况,由上式可给出能量密度为
.jpg)
在介质中某一地点(即 一定),介质的能量密度 随时间t作周期性变化。而该处介质在一个周期内的平均能量密度则为

上式表明,对平面波来说,波的平均能量密度与振幅的平方、频率的平方和介质的密度三者成正比。
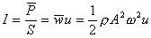
波的能量来自波源,能量流动的方向就是波传播的方向。能量传播的速度就是波速 ,为了描述波的能量传播,常引入能流密度的概念。单位时间内通过介质中某一面积的平均能量,叫做通过该面积的平均能流。在单位时间内平均通过面积S的能量为 |
(推导)
单位时间内通过垂直于波传播方向的单位面积上的平均能量,称为能流密度,通常以 表示。 |
在单位时间内通过垂直于波传播方向的单位面积上的平均能量,称为能流密度,以 表示,由上两式得

|
能流密度矢量常称为坡印廷矢量,即 
|
上式当中, 是介质的密度, 是波速, 是振幅,
是波的角频率。能流密度
I 的单位是 。上式说明,在均匀介质(即
、 一定)中,从一给定波源(即 确定)发出的波,其能流密度与振幅的平方成正比。能流密度是一矢量(常称为坡印廷矢量),它的方向即为波速的方向。故上式可写成如下的矢量形式:
| 能流密度越大,单位时间内通过垂直于波传播方向的单位面积的能量越多,波就越强,所以能流密度是波的强弱的一种量度,因而也称为波的强度。例如声音的强弱决定于声波的能流密度(声强)的大小;光的强弱决定于光波的能流密度(称为光强度)的大小。
由于波的强度与振幅有关,因此当平面简谐波在介质中传播时,若介质是均匀的,且不吸收波的能量,则其振幅 将保持不变。但是,对球面波来说,情况就不同。
|
|

从给定声源发出的声波在介质中传播,它的声强与振幅的平方成正比。因此声波的声强越大,声振幅也就越大,声音便越响。因此声强是描述声音强弱的一个物理量。声频率为 时,声强约为 的声音,才可听到。这个引起人耳听觉的声强的最低限度叫做可闻阈,由于声强的变化范围过大,直接用声强 表示,反而不方便,而是采用声强 与可闻阈 之比值来表示。又因人耳对弱的声波,听觉较为灵敏,对强的声波则不甚灵敏,经验表明,人耳所感觉到的响度并非正比于声强,而大约正比于声强的对数。因此,对声强为I的声波,采用比值 的常用对数表征这声波的强度,叫做声强级。为了选取合乎实际使用的单位大小,规定声强级(用 表示)为

|
引起人耳听觉的声强的最低限度叫做可闻阈;采用声强 与可闻阈 的比值来表征声波的强度,叫做声强级。规定声强级为

这样定出的声强级的单位叫做分贝,记做dB。
|
这样定出的声强级的单位叫做分贝,以dB表示。按上式,可以算出声强为 的最轻音的声强级就是0dB。震耳的炮声,其声强约为 ,其声强级为
.jpg)
正常的谈话声的声强级约为60~70dB。室内噪声在80dB以上,就会感到交谈困难,影响工作。如果长期在90dB以上的高噪声环境下工作,会损坏听觉,尤其是高频噪声更令人厌烦。为了保护工作人员健康,提高工作效率,必须消除或削弱这种声污染。通常对一些强噪声源(例如:发电厂锅炉在排气时,往往发出高达140~150
dB的强烈噪声),必须安装消声设备;对一些控制室的墙壁、门窗需作隔声处理,使室内达到良好的工作环境。
当前,解决交通和工业的噪声问题,已是当务之急,乃是环境保护工程的一项重要课题。
|