06-1 简谐振动
  首页 | 后退
   上一章  下一章    下一节      
  自学指导
本节导学
知识导航
典型例题
问题讨论
作业选解

02-06-01

简谐振动

弹簧振子

单摆

复摆


  物体相对于平衡点的位移随时间按余弦(或正弦)规律变化,即

                (6-1)

则称物体作简谐振动。(6-1)式即简谐振动的表达式。 —振幅; —角频率;—相位; —初相位。位移随时间的变化曲线称为振动曲线。 

 


  物体作简谐振动时,速度为

         (6-2)


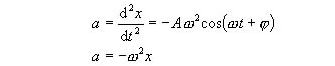
  物体作简谐振动时加速度为

       


  可见物体做简谐振动时,其速度、加速度都以同样的角频率作简谐振动,相位依次超前π/2。式(6-4)是简谐振动的运动学基本特征。根据牛顿第二定律,得

                     (6-5)

  力与位移大小成正比,符号相反,这样的力称为回复力。式(6-5)是简谐振动的动力学特征。

  作简谐振动的系统,称为谐振子。弹簧振子、单摆、复摆等都是谐振子。

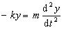
  一根质量可以忽略不计的轻弹簧和连挂的重物,组成弹簧振子。下面用一个例子加以说明,原长为的铅直轻弹簧,其劲度系数为,下端固定,上端固定一质量为的重物,形成一个沿铅直方向振动的弹簧振子。平衡时,弹簧的压缩量为选平衡位置为原点O,垂直向下为y 轴正方向,将物体从平衡位置压下一小距离后放手。由于弹簧的弹力大于重力,物体开始向上运动。在距离平衡位置 y 处有

F = -ky

y 是物体相对平衡点的位移。这正是简谐振动的动力学基本特征:力与平衡位置的位移大小成正比、方向相反。根据牛顿第二定律,令

此微分方程的解为 所以,这是一个简谐振动。

  谐振子只是一个理想模型,实际的振动系统通常是很复杂的

  以弹簧振子为例来讨论简谐振动的能量。设振动物体的质量为mt时刻位移为x、速度v,则系统的动能

势能

总能量为 考虑到 可得

  对于作确定振动的谐振子,动能、势能都随时间变化,但总能量在振动过程中是一个很恒量。这种能量和振幅保持不变的振动也称为无阻尼振动。(图示简谐振动能量的特点