例题 01-05-01-03
如图所示,一曲柄连杆机构的曲柄
OA
长为
r
,连杆
A
长为
l
。连杆
AB
的一端用销子
A
与
OA
相连。当曲柄以匀角速
绕轴
O
作逆时针旋转时,通过连杆带动活塞在气缸内往复运动,求活塞的运动方程。
解: 取
O
点为原点,水平向右为
x
轴正向(如图),并设开始时,曲柄销
A
在
x
轴上的
P
点,当曲柄以匀角速
作逆时针旋转时,则在
t
时刻,曲柄的角坐标为
,这时活塞的位置相应为
x
=
OB
+
RB
。即
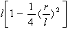
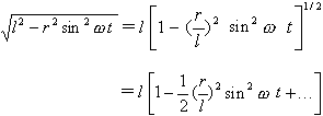
①
这就是活塞的运动方程。由于式中含有
和
,其值均随时间
t
作周期性变化,因此活塞在两个极端位置
与
之间沿
x
轴来回运动。
我们把式①右端的平方根式按二项式定理展开为
②
由于在实际的曲柄连杆机构中,
r
/
l
<
1/3.5
, 因此可略去
以上的高阶小量,于是式①可写成
③
或
④
令
,即将坐标原点从
O
点移到坐标为
的
点,从而可得,活塞以
为原点、以
为位置坐标的运动方程为
⑤
01-05-01-01
01-05-01-02
01-05-01-03