因为物体依靠它本身动能的减少来对外作功。如水磨利用水流的动能作功,帆船和风力发电站的风车利用风的动能作功,等等。
![]()
![]()
![]()
![]()
![]()
首页
| 后退
上一章
下一章
上一节
下一节
自学指导
![]()
本节导学
![]()
知识导航
![]()
典型例题
![]()
问题讨论
![]()
作业选解
01-03-02
动能 质点的动能定理
![]()
外力对物体作功,物体运动的能量必然要发生相应的变化,变化的大小用动能增量来表示。从而得出动能定理。
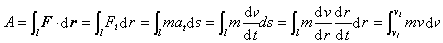
本节将从牛顿运动定律出发,导出外力对物体作功与物体动能改变的关系。如图1所示,质量为m的物体在合外力为F作用下自始点a沿曲线路径l运动到终点b,设物体在a点的速度为
,在b点速度为
,注意合外力F的切向分量
;则合外力F所作的功为

图1
![]()
![]()
注意上式中
是物体速率的函数,它是表征物体运动状态的一个新的物理量,叫做物体的动能,常以
表示;而
是物体在合外力作用过程中末态与始态的动能之差,即动能的增量。因此
![]()
表明合外力对物体所作的功等于物体动能的增量。这个结论称为质点的动能定理。它表述了作功与物体运动状态改变(即动能的增量)之间的关系。
注解:
(1)按照质点动能定理的表达式(1)可知,在合外力对物体作正功(A>0)的过程中,物体在末态的动能
大于始态的动能
,反之,在合外力对物体作负功(A<0)的过程中,物体在末态的动能小于始态的动能,这时物体反抗合外力作功,或者说,物体克服施力物体的作用力作了正功,使物体减少或损失动能。所以,物体动能的改变可用功来量度。动能是运动物体所具有的作功本领。
(2)动能是标量,其单位与功的单位相同,也是J(焦耳)。
(3)从物理意义上来说,不能把功与动能混为一谈。前面讲过,动能是反映物体运动状态的物理量,是一种状态量。亦即,物体在某时刻(或相应的位置)处于一定的运动状态,就相应地具有一定的动能。而功则涉及到力所经历的位移过程,它是一个与空间过程有关的过程量。我们说物体在某一时刻或某一位置具有多少功,是没有任何意义的。