牛顿第二定律F=ma只能说明外力F对物体作用的瞬时关系,但外力对物体的作用效果,即物体运动状态的改变,还取决于力F作用下物体的位移 2.变力沿曲线路径所作的功 3.合力所作的功
严导淦
《物理学》第三版
上册
高等教育出版社
程守洙
《普通物理学》
第一册
高等教育出版社
马文尉
《物理学》第四版
上册
高等教育出版社
张三慧
《大学物理》第二版
第一册
清华大学出版社
吴百诗
《大学物理》新版
上册
科学出版社
![]()
![]()
![]()
![]()
![]()
首页
| 后退
上一章
下一章
下一节
![]()
本节导学
![]()
知识导航
![]()
典型例题
![]()
问题讨论
![]()
作业选解
01-03-01
功 功率
s。即取决于功。
![]()
1.恒力沿直线所作的功
如图1所示,物体(可视作质点)在恒力F作用下作直线运动,其位移为
,
力与位移的夹角为,则力在这段位移上所作的功为

图1
![]()
如图2所示,物体受一变力F作用,沿曲线l从点a移动到点b。则力F所作的功为
![]()

图2
这里
为力F在曲线上一段位移元dr上所作的功,叫做元功。在位移元dr上,可以认为力F的大小和方向的变化皆甚小,即可当作恒力;
dr所对应的实际路径上一段曲线元ds近似地为与dr重合的直线,且
。而总功A为所有位移元上该力所作元功之总和。
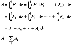
设合力为F,即
。由于矢量的标积服从分配律,则合力F对物体所作的功为

从右图动画可知,功是标量。功的大小随力F和位移之间的夹角
变化而变化,因此功的大小有正负之分。
在国际单位制中,力的单位是N(牛顿),位移的单位是m(米),所以功的单位是N·m(牛顿·米),符号为J,称为焦耳或焦。
![]()
为了描述力作功快慢,我们引入功率的概念。它定义为力在单位时间内所完成的功。设在
时间内完成
的功,那么在这段时间内的平均功率是
![]()
而t时刻的瞬时功率为
![]()
或
![]()
一般,汽车发动机的功率是恒定的(如原来的上海桑塔纳轿车,发动机的最大功率是66kW),因此在启动或爬坡时,因所需驱动力较大,司机总是调到低档驾驶。
在国际单位制中,功率的单位是(焦耳·秒
),符号为W(瓦特或瓦);通常多用kW(千瓦)作单位,
。过去,在工程上,功率还常用马力(HP)作单位,并规定1HP=
0.735kW
。