内容
  
  首页 | 后退
   上一章  下一章  上一节  下一节      
  自学指导
本节导学
知识导航
典型例题
问题讨论
作业选解

06-23-03
玻尔量子理论

玻尔

 


  卢瑟福的原子有核模型与经典的电磁理论有着深刻的矛盾。主要表现为:

  1.按经典电磁理论,电子绕核转动具有加速度,加速运动着的电荷(电子)要向周围空间辐射电磁波,电磁波频率等于电子绕核旋转的频率,随着不断地向外辐射能量,原子系统的能量逐渐减少,电子运动的轨道半径也越来越小,绕核旋转的频率连续增大,电子辐射的电磁波频率也在连续地变化,因而所呈现的光谱应为连续光谱。

  2.由于电子绕核运动时不断向外辐射电磁波,电子能量不断减少,电子将逐渐接近原子核,最后落于核上,这样,原子应是一个不稳定系统。

  以上结论与氢原子光谱的实验规律显然不符,因为实验事实是:原子具有高度的稳定性,即使受到外界干扰,也很不易改变原子的属性;且氢原子所发出的光谱为线状光谱,与经典电磁理论得出的结论完全不同。

  如上所述,用经典理论无法解释原子内电子的运动情况和原子光谱的特征。为了解决这些困难,1913年,玻尔在卢瑟福原子核模型的基础上,把普朗克的量子概念及爱因斯坦的光子概念引用到原子系统,提出了关于原子模型的三条基本假设,满意地解释了氢原子光谱的规律性,为以后的量子理论奠定了基础,为此玻尔获得了1922年的诺贝尔物理学奖。

  只有当原子从一个具有较大能量En的稳定态跃迁到另一个较低能量Ek的稳定态时,原子才以光子形式发射出单色辐射,其频率由下式决定:

式中h为普朗克常数。


  计算氢原子或类氢离子中电子运动的圆周轨道半径:

  设原子核带正电荷Ze(Z为原子序数),电子质量为m,以速率v绕核作半径为r的圆周运动,由库仑定律及牛顿第二定律,并忽略万有引力,得
                            (1)   
  根据玻尔轨道角动量量子化假设, n=1,2,3,……,得
                      n=1,2,3,……, (2)
  上式为原子中第n个稳定轨道的半径,对于氢原子Z=1,当n=1时,为最靠近原子核的轨道半径,称为玻尔第一轨道半径,简称玻尔半径。

   

  于是式(2)可改写为          
上述结果表明,原子中电子的轨道半径数值不是任意的,而是与成正比,这种轨道不连续的现象,称为轨道半径的量子化。

  
  电子在第n个轨道上运动时,原子总能量En为电子动能与电势能的代数和,即
                
  将本节(1)式及(2)式代入得:
                    n=1,2,3,…
  上式表示电子在第n个稳定态时氢原子或类氢离子的能量。可以看出,当n取正整数时,原子可取的能量为一系列分立的量值 ,…,En,所以原子的能量也是量子化的,这些分立的能量称为能级。表示能级分布的图称为能级图。图中的横线表示能级的能量值,单位用电子伏,并取时的能级En为零。两能级间的竖直箭矢表示两能级的跃迁,箭矢的长度与所对应谱线的波数成正比,箭矢上所示的数值是波长,单位为nm。右边标出波数,单位为106m-1

 


  根据玻尔理论,氢原子光谱的产生可解释如下:电子在第一轨道(n=1)时,能量最小,此时原子最为稳定,这种状态称为基态。n>1各个状态,其能量大于基态,称为受激态或激发态。
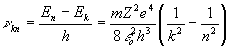
  根据玻尔的假设,当原子中电子从较高能级En跃迁到较低能级Ek时(n>k),发射出单色光,其频率为

  也可用波数表示为:         (3)
  将(3)式与相比,可得里德伯常量为
               
  可以看出,里德伯常量R 的理论值与实验值十分符合。氢原子光谱中各线系对应的跃迁过程可从氢原子的能级图中看出,分别为:
  莱曼线系:,…,→
  巴耳末线系: ,…,→
  帕邢线系:,…,→
  布拉开线系:,…,→
  普丰德线系:,…,→

  在一次跃迁中,一个氢原子只能发出一条谱线,而通常在实验中观察到的是大量氢原子处在不同受激态向低能级跃迁时同时发出的光,所以能同时观察到全部谱线。