






(
)
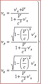
上式成为
| 严导淦编《物理学》,第3版,下册,498页--503页,高教出版社 程守洙、江之永编《普通物理学》,第5版,第1册,229页--240页,高教出版社 吴百诗编《大学物理》,新版,下册,282--284页,293页--303页,科学出版社 张三慧编《大学物理学》,第2版,第1册,297页--300页,310页--319页,清华大学出版社 马文蔚编《物理学》,第4版,下册,185页--190页,高教出版社 |
|
|
|||||||||
| 首页 | 后退 |
|
|||||||||
06-21-02
Einstein Albert |
|
||||||||||||||||||||||||