这是一道计算两个回路间互感系数的简单例题。
例题 04-15-06-01
如图所示,圆形小线圈
由绝缘导线绕制而成,其 匝数
,面积
,今把它放在半径为
,匝数
的大线圈
的圆心处,两者同轴共面. 试求:
(1)两线圈的互感;
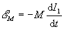
(2) 当大线圈的电流以
的变化率减小时,小线圈中的感应电动势为多大?
分析
题解
计算
解
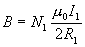
(1)设大线圈中通有电流为
,由题设可知,
,故可视
在面积
上 各点激发的磁场相同,其值为
通过
的磁链为
互感系数为
(2)小线圈中的互感电动势为
04-15-01-01
04-15-02-01
04-15-02-02
04-15-02-03
04-15-03-01
04-15-03-02
04-15-03-03
04-15-03-04
04-15-04-01
04-15-04-02
04-15-04-03
04-15-05-01
04-15-05-02
04-15-06-01
04-15-06-02
04-15-06-03
04-15-08-01
04-15-08-02