例题 04-15-05-01 如图所示,设有一电缆,由两个"无限长"同轴圆筒状的导体组成,其间充满磁导率为

的磁介质.某时刻在电缆中沿内圆筒和外圆筒流过的电流强度
i相等,但方向相反.设内、外圆筒的半径
分别为

和

,求单位长度电缆的自感系数。
解:
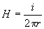
应用有磁介质时磁场的安培环路定理可知,在内圆筒以内及在外圆筒以外的区域中,磁场强度均为零.在内、外两圆筒之间,离开轴线距离为

处的磁场强度为
今任取一段电缆,长为

,穿过电缆纵剖面上的面积元

的磁通量为



对某一时刻而言,
i为一定值,则长度为
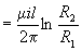
l的两圆筒之间的总磁通量为


按

,可得长度为
l的这段电缆的自感系数为

由此,便可求出单位长度电缆的自感系数为
