这是一道用法拉第电磁感应定律求解感应电动势的基本例题,解题中结合稳恒电流磁场的基本知识,学会分析磁场及其磁通量的变化,是解题的关键。
例题 04-15-02-03
两个半径分别为
R
和
r
的同轴圆形线圈相距
x
,两线圈平面平行,且
R
>>
r
,如图所示。若大线圈通有电流
I
,
线圈匝数为
,而小线圈未通电流,线圈匝数为
。当小线圈沿
x
轴正向以速度
运动到
x
>>
R
的区域时,试求小线圈回路中所产生的感应电动势随
x
变化的关系。
分析
题解
讨论
问题
解
依据磁场的分布特征,选择回路正绕行方向为逆时针方向。则回路所围面法线正方向沿
x
轴正方向。穿过小线圈平面的磁通量为:
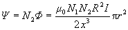
小线圈由
匝导线绕制而成,故穿过小线圈的磁链为:
根据法拉第电磁感应定律有:
式中,
,说明感应电动势
的方向与规定的回路正绕行方向相同。即与
x
轴正向成右手螺旋关系,为逆时针方向。
小线圈中感应电动势的方向也可以用楞次定律来判断。请你试试看!
04-15-01-01
04-15-02-01
04-15-02-02
04-15-02-03
04-15-03-01
04-15-03-02
04-15-03-03
04-15-03-04
04-15-04-01
04-15-04-02
04-15-04-03
04-15-05-01
04-15-05-02
04-15-06-01
04-15-06-02
04-15-06-03
04-15-08-01
04-15-08-02