 |
|
|
|
|
|
|
|
这是一道学习如何利用法拉第电磁感应定律,求解非均匀磁场中线圈的感应电动势的典型例题。在解题过程中应特别注意如何正确求解回路的磁通量,如何正确判断感应电动势的方向。
|
|
|
|
|
|
|
|
|
|
|
|
|
| |
| |
|
|
|
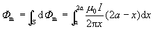
例题 04-15-02-02 如图所示,在通有电流为  (  、 k皆为正的恒量, t为时间)的长直导线近旁有一等腰直角三角形线框 MNP,两者共面, MN与直导线平行,且相距为 a,三角形的直角边的长也是 a。求线框中感应电动势的大小和方向。
解
沿线框选定回路的顺时针绕向,按右手螺旋定则,回路所包围面积的法线方向垂直屏面向里,建立坐标如图所示的直角坐标系 Oxy,则 NP边满足的方程为 y= 2a-x, x处的磁场强度为 
,方向垂直纸面向里。取如图所示的面积元 dS(阴影部分),则通过面积元 dS的磁通量为

穿过直角三角形所包围面积的总磁通量为
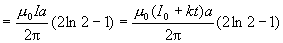
由法拉第电磁感应定律得线框内的感应电动势为

因为 
, 所以 
的方向与回路绕行方向相反,即沿逆时针方向。
|
|
|
|