例题 04-14-02-03: 一根长直同轴电缆,内、外导体之间充满磁介质(如图示),磁介质的相对磁导率为

,导体的磁化可以忽略不计,沿轴向有稳恒电流

通过电缆,内、外导体上电流的方向相反。
求:
(1) 空间各区域内的磁感强度和磁化强度;
(2) 磁介质表面的磁化电流。
(1)
取与电缆轴同心的圆为积分路径,根据磁介质中的安培环路定理,有
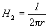
对

,

得

忽略导体的磁化(导体的相对磁导率

),有:

;
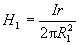
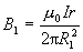
对

;
得

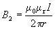
填充的磁介质的相对磁导率为

,有

对

得

同样忽略导体的磁化,有:
对

得
;
;