本题是利用磁介质中的安培环路定理求解磁场的例题之一,也是电流和磁介质的分布具有轴对称性的典型例题。

 

 

 

 

 
 
 

 

例题 04-14-02-01 在半径为R的无限长铜圆柱体中均匀通有电流I(设铜的磁导率近似为),柱体外面充满磁导率为的均匀磁介质,试求磁场的分布.



  根据有磁介质时磁场的安培环路定理,有
                    
  上式左端为
        
  于是,代入前式,成为
                     (1)
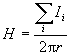
   当时, ,代入式(1),得
          
    由 ,得铜圆柱体的磁感应强度为
                      
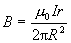
  当 时, ,代入式(1),得
              
  由 ,便得磁介质中的磁感应强度为