 |
|
|
|
|
这也是利用磁场叠加原理和已知典型电流的磁场,求给定电流的磁场中磁感强度的基本例题。通过本题可以看出磁感强度是矢量,最终结果必须反映出矢量的大小和方向。
|
|
| |
|
|
|
|
|
|
|
|
|
|
|
|
| |
| |
| |
|
|
|
例题 04-13-05-03 如图所示,两根"无限长"载流直导线互相垂直地放置,已知 ,
= 6A(
电流的流向为垂直于纸面朝外), ,求P
处的磁感强度。
解
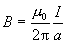
按式  ,长直电流  在 P
处磁感强度  的大小为
  
已知  ,  ,   ,代入上式,得


其方向为垂直于纸面向里。
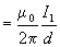
同样,长直电流  在 P
处磁感强度  的大小为
 


其方向为在纸面上向右,与  互相垂直。
如图所示,便可算出 P
处磁感强度 B
的大小为
B


矢量在垂直于纸面的平面上,其方向用它与  所成的  角表示,则得
|
|
|
|