|
04-16-03
电磁场理论的基本概念
麦克斯韦方程积分形式
麦克斯韦在稳恒场理论的基础上,提出了涡旋电场和位移电流的概念,再经过理论上的抽象、概括和推广,将稳恒场的理论上升为经典电磁场理论,而电磁场理论的实质就是电场和磁场的相互激发,电磁场理论的核心则是麦克斯韦方程组。
|
|
|
|
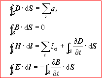
关于静电场和稳恒磁场的基本规律,可总结归纳成以下四条基本定理:
|
静电场的高斯定理:
|
 |
|
静电场的环路定理:
|
 |
|
稳恒磁场的高斯定理:
|
 |
|
磁场的安培环路定理:
|
 |
|
 |
(1)
|
上述这些定理都是孤立地给出了静电场和稳恒磁场的规律,对变化电场和变化磁场并不适用。 |
|
|
|
麦克斯韦在稳恒场理论的基础上,提出了涡旋电场和位移电流的概念:
1. 麦克斯韦提出的涡旋电场的概念,揭示出变化的磁场可以在空间激发电场,并通过法拉第电磁感应定律得出了二者的关系,即
上式表明,任何随时间而变化的磁场,都是和涡旋电场联系在一起的。
2. 麦克斯韦提出的位移电流的概念,揭示出变化的电场可以在空间激发磁场,并通过全电流概念的引入,得到了一般形式下的安培环路定理在真空或介质中的表示形式,即
上式表明,任何随时间而变化的电场,都是和磁场联系在一起的。
综合上述两点可知,变化的电场和变化的磁场彼此不是孤立的,它们永远密切地联系在一起,相互激发,组成一个统一的电磁场的整体。这就是麦克斯韦电磁场理论的基本概念。
|
|
|
|
|