严导淦
《物理学》第三版
下册 P. 343-347
高等教育出版社
程守洙
《普通物理学》第五版
第二册 P.395-402
高等教育出版社
马文尉
《物理学》第四版
中册 P.229-235
高等教育出版社
张三慧
《大学物理》第二版
第三册 P.263-267
清华大学出版社
吴百诗
《大学物理》新版
上册 P.476-478
科学出版社
也就是说,如果把导体上的传导电流和真空(或电介质)中的位移电流都考虑在内,整个电路中的电流就处处连续。
而且变化电场所激发的磁场,其磁感线也是闭合曲线,即为涡旋磁场,这一磁场和传导电流激发的磁场性质完全相同。
内容
首页
|
后退
上一章
下一章
上一节
下一节
自学指导
本节导学
知识导航
典型例题
问题讨论
作业选解
04-16-02
位移电流
上节指出,变化的磁场能够激发电场(涡旋电场),那么变化的电场能否激发磁场呢?麦克斯韦通过位移电流假说,回答了这个问题。
在稳恒电路中传导电流是处处连续的。在这种电流产生的稳恒磁场中,安培环路定理可以写成
(1)
式中
是穿过以
L
回路为边界的
任意曲面
S
的传导电流。但在接有电容器的电路中,情况就不同了。在
电容器充放电的过程
中,对整个电路来说,传导电流是不连续的。安培环路定理在非稳恒磁场中出现了矛盾的情况,必须加以修正。
为了解决电流的不连续问题,并在非稳恒电流产生的磁场中使安培环路定理也能成立,麦克斯韦提出了
位移电流
的概念。
通过对
电容器充放电过程的分析
,可以发现:虽然传导电流在电容器两个极板之间中断了,但是,与此同时,两个极板之间却出现了变化的电场。
经过
理论的推算
表明,导线中的传导电流
(或电流密度
)和极板间的电位移通量
(或电位移的时间变化率)相等。在此基础上,麦克斯韦提出了著名的位移电流的概念,他将电位移通量
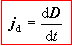
的时间变化率称为
位移电流强度
,用
表示,而把电位移
D
的时间变化率称为
位移电流密度
,用
表示,即
位移电流强度:
位移电流密度:
(2)
即通过电场中某截面的位移电流等于通过该截面的电位移通量
的时间变化率;电场中某点的位移电流密度等于该点电位移的时间变化率。
麦克斯韦的位移电流假设已由它所导出的许多结论和实验结果而得到证实。
见问题讨论1
麦克斯韦认为:位移电流和传导电流一样,都能激发磁场,该磁场和与它等值的传导电流所激发的磁场完全相同。这样,在整个电路中,传导电流中断的地方就由位移电流来接替,而且它们的数值相等,方向一致。对于普遍的情况,麦克斯韦认为传导电流和位移电流都可能存在。于是,他推广了电流的概念,将二者之和称为
全电流
,用
表示为
(3)
对于任何回路,
全电流是处处连续的
。运用全电流的概念,可以自然地将安培环路定律推广到非稳恒磁场中去,从而,也就解决了电容器充放电过程中电流的连续性问题。
在一般情况下,安培环路定理被修正为
(4)
这就是说,在磁效应方面,位移电流也和传导电流等效。上式表明:不仅传导电流可以在空间激发磁场,
变化的电场也可以在空间激发磁场
。
如果以
表示位移电流
在周围空间激发的磁场,
在真空或介质中
,安培环路定理可表示为
(4a)
该式定量地反映了变化的电场和它所激发的磁场之间的关系,并说明变化的电场和它所激发的磁场在
方向上服从右手螺旋关系
。
由此可见,位移电流的引入,深刻地揭露了变化电场和磁场的内在联系。
见问题讨论2