这是一道洛伦兹力的计算题目,分析和计算了带电粒子在均匀磁场中不同条件下的运动轨迹问题。
例题 04-13-11-02
如图所示,一带电粒子的电荷为
,质量为
m
,以速度
进入一磁感强度为
B
的均匀磁场中,
(1) 若速度
的方向 与磁场
B
的方向垂直;
(2) 若速度
的方向与磁场
B
的方向成
角(
≠90°
).试分别求带电粒子在磁场中的运动轨道(为便于讨论,不防设
>
0
).带电粒子的质量甚小,故在今后如无特殊说明,一般可不计它的重力
m
g
。
题解一
题解二
说明
题解二
按题设,
,如图
(b)
所示,这时可将速度
分解为垂直和平行于磁场的分量:
,
;
其中,速度分量
使带电粒子在磁场力作用下作匀速圆周运动,按上述式(a)其回旋半径为
(d)
与此同时,速度分量
使带电粒子沿磁场方向作匀速直线运动,其速度为
(e)
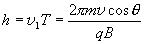
由于带电粒子同时参与这两种运动,可以想见,其合成运动的轨道是一条螺旋线,如图中(b)所示.带电粒子在螺旋线上每旋转一周,沿磁场
B
的方向前进的 距离称为
螺旋线的螺距
,其值
h
可由式(b)、式(e) 求得,即
(f)
04-13-03-01
04-13-03-02
04-13-04-01
04-13-05-01
04-13-05-02
04-13-05-03
04-13-06-01
04-13-07-01
04-13-08-01
04-13-08-02
04-13-08-03
04-13-09-01
04-13-09-02
04-13-09-03
04-13-10-01
04-13-10-02
04-13-10-03
04-13-10-04
04-13-11-01
04-13-11-02
04-13-12-01