在
例题04-13-06-01
中学习了一个运动的带电圆盘在圆心处磁场的计算,本例题将进一步教会你运动的带电圆盘的磁矩
如何计算。
例题 04-13-10-04
如图所示,半径为
R
的均匀带电薄圆盘,带电量为
q
,将其放在磁感强度为
的均匀磁场中,
的方向与盘面平行,当圆盘以角速度
绕通过盘心,且垂直于盘的轴逆时针转动时,求:
① 此圆盘的磁矩
;
② 圆盘在磁场中所受磁力矩
的大小和方向。
分析
题解
题解
①如图,在圆盘上取半径为
r
,宽为
d
r
的环带,
先求出此环带转动时的磁矩。此环带转动时的等效电流为
其中
则
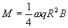
整个圆盘的磁矩为
磁矩的方向垂直纸面向外。
②磁力矩
,
磁力矩的方向平行纸面向上。
04-13-03-01
04-13-03-02
04-13-04-01
04-13-05-01
04-13-05-02
04-13-05-03
04-13-06-01
04-13-07-01
04-13-08-01
04-13-08-02
04-13-08-03
04-13-09-01
04-13-09-02
04-13-09-03
04-13-10-01
04-13-10-02
04-13-10-03
04-13-10-04
04-13-11-01
04-13-11-02
04-13-12-01