这是一道计算平面载流线圈在非均匀磁场中所受合力的题目。另外,通过本题的学习,进一步巩固非均匀磁场中磁通量的计算方法。
 
 

 

 

 

 

 
 
 

例题 04-13-09-03 如图所示,一无限长直导线通有电流 ,旁边放有一直角三角形回路,回路中通置电流 ,回路与长直导线共面。求:
① 电流的磁场分别作用在三角形回路上各段的安培力;
② 通过三角形回路的磁通量



解:

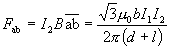
ab段:
各电流元处B值相同。,
   方向如图所示。
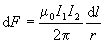
 bc段:
,

   方向如图所示。
   ca段:
      方向如图所示。