这是一道"在非均匀磁场中如何求解载流导线受到的磁力"的典型例题。通过这道例题的学习,可以更进一步掌握磁力计算的关键所在。
 

 

 

 

 

 
 

 

 

 

 

 

 

 

 

 

 

 

例题 04-13-09-02 长直导线AB载有电流,其旁有一直导线MN,通有电流 ,两者在同一平面内,且成 角,MN两点到导线AB的距离分别为ab(见图),求导线MN所受的磁场力的大小和方向。

分析    题解


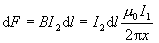
  在直导线MN上取电流元,它与长直电流,相距为x,如图所示.长直电流在该处激发的磁场强度为
              
  电流元所受磁场力 的大小为
           
方向如图所示. 由于直电流MN上各处电流元所受磁场力的方向相同,因此,直电流MN受磁场力的大小为
           
  由于,所以
             
力的方向为垂直直电流MN斜向上。