本例题是利用安培环路定理求解具有无限长轴对称性电流分布的最简单的典型例题。通过本例题的学习,你将学会处理这类对称性电流磁场计算的基本方法。
例题 04-13-08-01
半径为
R
的无限长薄壁圆筒,均匀通有电流
I
,求空间的磁感强度
B
的分布,并作出
B-r
曲线。
分析
题解
解
:
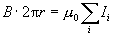
以圆形环路
l
为积分路径,并取环路绕向为逆时针,则
按安培环路定理,有
得
当积分环路半径
, 由于
,所以
。
当积分环路半径
, 由于电流流向与环路绕向满足右手螺旋定则,电流为正,即
,所以
磁感强度
B
随半径
r
的变化关系如图(b)所示。
04-13-03-01
04-13-03-02
04-13-04-01
04-13-05-01
04-13-05-02
04-13-05-03
04-13-06-01
04-13-07-01
04-13-08-01
04-13-08-02
04-13-08-03
04-13-09-01
04-13-09-02
04-13-09-03
04-13-10-01
04-13-10-02
04-13-10-03
04-13-10-04
04-13-11-01
04-13-11-02
04-13-12-01