|
习题 04-10-13-30 一电子在 电压作用下获得速度后,水平飞入两平行平板空间的中央。若平板是水平放置的,且板长 ,两板间距离 。问至少要在两板上加多大电压,才能使电子不再飞出两板间的空间?
答案:
本题有详解
习题 04-10-13-31 试由例题10-15及其结果,求均匀带电的细圆环在环面垂直轴上一点A的场强,并与例题10-7的结果对照。
本题有详解
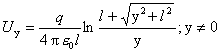
习题 04-10-13-32 正电荷 均匀分布在长 的细棒上,求下列各点的电势 ,并由此求相应的场强:(1)
中垂线上离细棒中点O为y处;(2) 细棒的延长线上离中点O为x处。
答案 (1)
;
(2)
本题有详解
|