此题是对角动量守恒定律的应用。在小球的运动变化过程中,所受到的合外力矩始终为0。另外,应当注意:角动量守恒并不意味着能量守恒。拉力不改变小球的角动量,但要对小球作功,改变小球的动能。

 
例题 01-05-02-02 如图,质量为m的小球拴在细绳的一端,绳的另一端穿过水平桌面上的小孔O而下垂。先使小球在桌面上以速度沿半径为的圆周匀速转动,然后非常缓慢地将绳向下拉,使圆的半径减小到。设小球与桌面的摩擦不计,求此时小球的速度以及在此过程中绳子拉力T所作的功。
解:(1)通过受力分析,小球所受合外力矩恒为0,即角动量守恒,L=恒矢量,由于L的 指向始终不变,我们把L作为标量来处理。即有
           

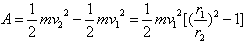
(2)由质点动能定理,绳子拉力对小球所作的功等于小球动能的变化,即
           


01-05-02-01
01-05-02-02