 |
|
当人开始起步时,将人和小车视为一系统,车对人作用的向前摩擦力(方向向左),向上支承力和人对车作用的向后摩擦力(方向向右)以及,向下压力,都是系统内的人和车相互作用的内力。系统所受外力有:人的重力 、车的重力W和地面对车的支承力N,它们沿水平方向的分量为零,因而,沿水平方向系统动量守恒。
|
|
|
|
|
| |
| |
|
|
|
例题 01-04-02-02 一长为l,质量为M的小车放置在平直轨道上。车的A端站有一质量为m的人,人和小车原来都静止不动,如果这人从车的A端走到B端,不计小车与轨道之间的摩擦,求小车和人各自的位移为多少?
|
|
|
|
解答: 人走动前,人和车原为静止,速度均为零;走动后,设人和小车相对于地面的速度分别为v和V,假设它们均与x轴正向同向
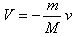
m0+M0=m(+v)+M(+V)
于是得
|
|
|
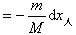
| 试中,负号表示人与小车运动的方向相反。由v=dx/dt,有 |
|
|
|
|
|
|
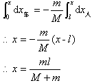
| 两边积分: |
|
|
 |
| 所以,人相对于地面的位移(即末位置与初位置的坐标之差)为 |
|
|
|
|