根据在运动全过程中受力情况的不同,可划分为三个过程来考虑,即:小球被压缩的弹簧弹出的过程、弹出后沿水平轨道运动的过程以及小球进入半圆形轨道运动的过程

 

 

 

例题 01-03-06-02  如图所示,质量m=0.1kg的小球被压缩的水平轻弹簧弹出后,沿水平轨道AB和铅直的半圆形轨道运动,当小球达到D点时,恰好开始脱离轨道.设半圆轨道的半径 R=1.5m D点离水平轨道的高度 H=2.4m,弹簧的劲度系数,并不计一切摩擦。
求:(1)弹簧原先被压缩的长度;(2)小球达到图中C点位置时,对轨道的压力.

解: (1)在小球被弹簧弹出的过程中,以小球和弹簧为系统.其外力有重力和水平轨道的支承力,它们皆不作功。即;又按题设不计摩擦, ,故系统的机械能守恒。由于系统内仅有保守性的内力-弹簧的弹性力,取弹簧原长时作为弹性势能零点,便可列出
  
                        (1)
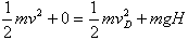
而今小球被弹出时的速度v不知道,故不能由上式求弹簧原先的压缩量;且此后沿水平轨道运动的过程中,小球以弹出时的速度v保持匀速前进(为什么?),无助于求速度v。为此,只得再考察小球进入半圆形轨道BD段的运动过程:把小球和地球视作一系统,轨道的法向支承力从为系统的唯一外力,但它处处垂直干小球的位移,故不作功.因而,系统的机械能守恒.在系统内力仅有保守性的重力情况下,接机械能守恒定律的表达式,取此过程中的最低点作为重力势能零点,便可列出
       (2)
式中,为小球在D点的速率.相应于小球在D点的该瞬时,按牛顿第二定律,列出小球运动方程的法向分量式,即
          (3)
式中,。按题意,在D点,,则由式(1),(2),(3)联立求解,并代入已知数据,可解算出弹簧原先的压缩量为
  (4)

(2)同理,小球从B点运动到C点的过程中,读者可自行分析,对小球与地球组成的系统而言,其机械能亦守恒,即
式中,为小球在C点的速率.把式(1)和(4)式带入上式,得:
          (5)
并考虑小球在C点这一瞬时的运动方程法向分量式为
          (6)
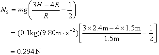
式中,为轨道在C点对小球施加的压力,它可由式(5),(6),并借已知数据解算出来,即


01-03-06-01
01-03-06-02