 |
|
根据例题01-03-03-01所述,考虑到物体间的连接情况,我们虽然也可分别取物体 , 为隔离体,按牛顿第二定律列出运动方程求解,但不如应用系统的动能定理求解更为简捷,方便。
|
|
|
|
|
| |
| |
|
|
例题 01-03-03-03 在例题 01-03-03-01中,设物体  ,  的质量分别为  ,  ,试求物体  从 D点自静止开始沿平台面经历位移  时的速度  。
|
|
|
|
解: 取物体 , 和细绳为一系统,其受力情况已在例题01-03-03-01中分析过了,现在,先计算这系统在运动过程中所有外力和内力的功,其中,外力 , , , 和 分别垂直于位移方向,均不作功;绳子两端分别与物体 , 连接处的两对内力 与 , 与 ,它们作功的代数和皆为零。这样,当系统在物体 发生位移 的运动过程中,这个系统所有内力的功
;而系统的一切外力所作的功为 ,
仅有外界对物体 的拉力F所作的功 ,即
按题意,根据系统的动能定理,可列出
|
|
|
(1)
|
|
即
|
|
(2)
|
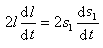
式(1)右端是系统动能的增量(末了与起始时系统动能之差),式(2)中, 为物体 的速率,也就是绳的移动速率;它与物体 沿平台运动的速率 之间的关系可从几何上来考虑,设图中P,C间的绳长为l,当 经历位移 ,且不计滑轮大小时,则可认为 |
 |
| 将上式两边对时间t求导,且因h为恒量,得 |
 |
显然, ;而
,代入上式得 |
|
|
(3)
|
| 将上式(3)代入(2),并化简,最后可求出 |
 |
| |
|
|