如同电子具有自旋角动量和自旋磁矩一样,核也具有自旋角动量和自旋磁矩。核自旋即是原子核内所有核子的自旋角动量与轨道角动量的矢量和,其大小,其中I核自旋量子数 在外磁场方向(设磁场沿z方向)的投影为称为核自旋磁量子数,I 一定时,(2I +1)个取值。

自旋不为零的原子核有磁矩,它与核自旋的关系为,式中为质子的质量,称为核的朗德因子,它取决于核的内部结构与特性,且是一个无量纲的量。于是,旋磁比

核磁子在外磁场(沿z)方向的投影,其中称作核磁子。通常将取最大值 I 时的称为核的磁矩,记作

(1)



 
图1 核自旋与核磁矩(点击观看动画)
 

磁矩在空间的可能取向如图2所示,它位于核磁矩在外磁场(沿z轴)中旋进的锥面上。磁矩与磁场的相互作用能为

(2)

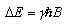
由于同一I下有(2I +1)值,因而原来得一个核能级附加上相互作用能,将会有(2I +1)个能量值,称为为子能级。相邻两个子能级的能量差(因其值相差为1)为

(3)

例如,氢核的基态核能级,在恒定磁场中的分裂情况如图3所示。