内容
  首页 | 后退
上一章下一章 上一节  
  自学指导
本节导学
知识导航
典型例题
问题讨论
作业选解
04-15-08
磁场的能量

    场是物质存在的一种方式,因此,场具有物质的基本属性----能量。在第十章中已知,电场具有能量。那么,磁场也应具有能量。本节我们从磁场建立过程中所发生的电磁感应现象出发,探讨磁场能量的来源、分布特征和计算方法。

    在一个含有自感线圈和电阻的简单电路中(如右图),通过实验会发现,在闭合和断开电键K的短暂时间内,电路中出现变化的电流,线圈中会产生自感电动势。
    当电键K闭合时,线圈与电源接通,电流由零逐渐增大,线圈中自感电动势方向与电源电动势的方向相反,在线圈中起着阻碍电流增大的作用。可见,电源在建立电流的过程中,不仅要为电路产生焦耳热提供能量,还要克服自感电动势而做功,所做的功转换为磁场的能量而暂时储存在线圈之中。

    显然,线圈中通有恒定电流 I 时储存的磁场能量,应等于电流从零增加至稳定值 I 的过程中,外电源反抗自感电动势所作的功。
    通过计算可知,这功即转换为线圈中磁场的能量,磁场能量用表示,则有:
 
(1)
    载流线圈中的磁场能量通常又称为自感磁能。从公式(1)中可以看出:在电流相同的情况下,自感系数 L 越大的线圈,回路储存的磁场能量越大。

    在磁场能量的公式(1)中,并没有体现出与磁场的直接关联,下面就来寻找这一关系。
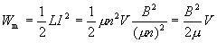
    如果我们所用的是均匀密绕的细螺绕环,在通电流I 时,它内部的磁感强度。细螺绕环的自感系数为。这样,磁场能量公式(1)可改写为
    由于螺绕环内部是均匀磁场,于是,磁场中单位体积的能量----能量密度可表示为
 
(2)
    上述磁场能量密度的结果说明:任何磁场都具有能量,磁场能量存在于一切磁感强度的空间。
见问题讨论1、2
    在非均匀磁场中,各点的B、H不尽相同,这时如何计算磁场能量呢?  
    可在磁场中取一个微小体积元,在此微小部分的范围内,各点的B、H、可以认为是相同的,于是体积元中的磁场能量为
整个有限体积 V 中的磁场能量为
 
(3)
公式(3)是计算磁场能量的通用公式。
见问题讨论3