|
04-14-02
有介质时磁场的安培环路定理
当我们需要计算有介质存在的空间的磁场分布时,不得不考虑介质中磁化电流的分布。但是,在大多数情况下,磁化电流受到激励磁场和介质本身性质的双重影响,是一个不可预知的因素。为了研究和计算磁场的方便,引入描写磁场的辅助物理量,可以使问题迎刃而解。
| | |
|
|
在不考虑磁介质时,磁场的安培环路定理,可写作
在有磁介质的情况下,介质中各点的磁感强度B等于传导电流I和磁化电流 分别在该点激发的磁感强度 和 之矢量和,即
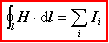
因此,磁场的安培环路定理中,还须计入被闭合路径l
所围绕的磁化电流 ,即
但是,由于磁化电流 的分布难于测定,在公式中应该尽量隐含掉。为此,引入描写磁场的辅助物理量H,称为磁场强度,简称H矢量,单位是:安培每米( )。H的定义为
|
|
| |
将磁化电流 与磁化强度 的环流关系带入式(3)可得:
这就是有磁介质时磁场的安培环路定理的普遍表达式。上式表明,在任何磁场中,H矢量沿任何闭合路径
l
的线积分 (即 ),等于此闭合路径
l
所围绕的传导电流 之代数和。
根据磁场强度H的定义式(4),可得磁介质中任一点的磁感强度B、磁场强度H和磁化强度 三者之间的普遍关系为
|
|
| |
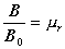
实验证明,在弱磁物质的磁场内,任一点的磁化强度与磁场强度H之间有如下关系:
式中 只和磁介质的性质有关,令
称为磁介质的相对磁导率,代入式(6)可得
上式更直接地表达了磁介质中任一点的B与H之间的关系。
如果能在同一传导电流的磁场中,先后测出在真空和充满某种磁介质时的磁感强度 和B,则它们的比值就是该磁介质的相对磁导率 ,即
按 值的不同,也可区分前面说过的三类磁介质。 |
|
|
在引入了描述磁介质物理性质的参量后,可将真空中磁场的毕奥-萨伐尔定律推广到有磁介质时的磁场中去。
在无限大均匀磁介质中的导线上任取一段电流元 ,它在场点P激发的磁感强度为(证明从略)
这就是无限大均匀磁介质中毕奥-萨伐尔定律的表示形式,式中 r
为场点P 相对于电流元 的位矢。所得的结果与真空中的类同,只不过将 换成 而已。 |
|
|