内容
  首页 | 后退
上一章下一章上一节下一节
  自学指导
本节导学
知识导航
典型例题
问题讨论
作业选解
04-13-09
磁场对载流导线的作用力 安培定律

    从本节开始,讨论磁场对电流(或运动电荷)的作用力----磁场力.磁场力是实现电磁能向机械能转换的基本动力,电动机就是根据载流导线在磁场中受力而运动的原理而制成的,磁场力也是磁电式仪表工作的基本动力。




  安培总结出了载流回路中一段电流元在磁场中受力的基本规律,称为安培定律。它表明:磁场对电流元Idl的作用力,在数值上等于电流元的大小、电流元所在处的磁感强度 B 的大小、以及电流元与磁感强度两者方向间夹角的正弦之乘积,其数学表达式为
(1)
  电流元所受磁场力dF的方向服从右手螺旋法则。用矢量形式表示为
(2)




  任何载流导线都是由连续的无限多个电流元所组成的,因此,根据安培定律,磁场对有限长度l的载流导线的作用力F,等于各电流元所受磁场力的矢量叠加,即

(3)

  载流导线所受的磁场力,通常也称为安培力。一般情况下,在计算一段载流导线的安培力时,如果各电流元所受磁场力的方向是一致的,则上式积分就转化成标量积分。
见问题讨论1、2

例如,一段长度为l载流直导线在均匀磁场中受到的安培力,其大小就可表示为
见问题讨论3



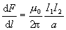
  载流导线之间有相互作用力,根据安培定律,可以定量地计算出两条无限长载流直导线之间每单位长度上相互作用的磁场力

(4)

    在国际单位制中,电流强度是基本量之一,其单位"安培" 的定义就是按上式定义的。