首页 | 后退  

作业03-08-11-01 提示:

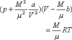
(1)直接利用范徳瓦耳斯方程和理想气体状态方程求解(即

)

(2) 气体摩尔质量为

 

 

作业03-08-11-01已知气体范徳瓦耳斯修正量, 试用范瓦耳斯方程计算密闭于容积为升的容器内,质量, 温度为气体压强( ) ,并与用理想气体状态方程求出的压强进行比较.

答案:
本题有解答

03-08-11-01