 |
|
方法一:
1.分别写出空气压缩前,后的理想气体状态方程。
2.由压缩前的状态方程求出未知量M/μ,代入压缩后的状态方程求解压缩后的温度。
|
|
|
|
|
|
|
方法二:
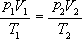
由气体状态方程 ,可直接求解未知温度,此法较简便
。
|
|
|
|
|
|
|
|
|
|
|
|
例题 03-08-02-02
一柴油机的气缸的体积为0.827×10-3m3,压缩前,缸内空气的温度为320K,压强为8.4×104Pa.当活塞将空气压缩到原体积的1/17
时,使压强增大到4.2×106Pa,求这时空气的温度(假设空气可视为理想气体).
|
| 解: 用提示的第二种方法。如图示: |
由 
得 
注:压缩后空气的温度为 941K ,此温度远远超过柴油的燃点(即开始发生燃烧的温度),因此柴油在气缸内将立即燃烧,形成高压气体,推动活塞做功。
|
|
|