

作业 02-07-10-01 两列波在同一条长弦上传播.弦的左端系在一振荡器上,它所产生的波的表达式为
;
弦的右端系在另一振荡器上,它所产生的波的表达式为
(两个表达式中y、x都以cm为单位,t
以s为单位).
求:(1) 每个波的频率、波长和波速;
(2) 波节的位置;
(3) 波腹的位置.
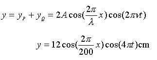
解:如图,波源P、Q发出的波,其波动表达式分别为

(1) 从上面的波动表达式可看出每列波的频率、波长、和波速分别为
(2) 上述两列波沿相反方向传播,叠加而成驻波
由波节
,得
![]()
即 在 x=0.5m、15 m、25 m等处;
(3)波腹点
,得
![]()
即在x= 0、1m、2m等处.