两同频率、位相差恒定相互垂直振动的合成

两同频率、位相差恒定、相互垂直振动的合成:
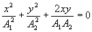
两振动:,消去参数,得到质点轨迹运动的直角坐标方程:



一般说,这是一个椭圆方程,但在特殊条件下,成为圆方程或为直线方程。
1)当时,方程为:
,成为直线方程。
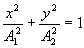
2)当时,方程为:
,成为一个在二、四象限的直角坐标方程。
3)当时,方程为:
,则,这就成了圆方程