1.光线垂直入射时,由可得出最多能看到明条纹的级数。
2.当光线与光栅屏幕法线成斜入射时,光程差由两部分组成,它是相邻狭缝的对应点射入的光线的光程差和射出的光线抵达P点的光程差之和,即
+),的最大相应值只能是,在本题为的值不变,代入光栅方程中,即可求出值。

 

 
 
例题 05-19-03-03 如图所示的光栅,每厘米刻有条狭缝。今在实验室中用此光栅来观察波长的钠黄光谱线。试问:当光线垂直入射时,最多能看到几级明条纹?如果让光线与光栅平面法线成角入射,则可比垂直入射时多看到几级明条纹?
解: 当光线垂直入射时,按光栅公式
  , (

其中,
,代入上式,得
  
再加上中央明纹,总共可看到条明纹。
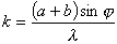
  光线以角入射到光栅上时,相邻狭缝对应点射出的光线抵达处的光程差为
  
这样,光栅公式应改写为
  ,  (
  考虑到,从而由上式可得
  
代入题给数据,算得
  
  这时,在屏幕下方一侧能观察到5级明条纹,比光线垂直入射时可以多看到2级明条纹。